Application for Scientific Collector's Permit - Oklahoma

Application for Scientific Collector's Permit - Oklahoma

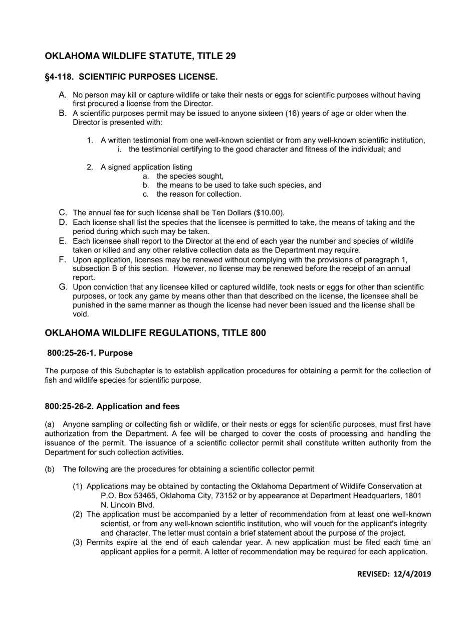
Application for Scientific Collector's Permit is a legal document that was released by the Oklahoma Department of Wildlife Conservation - a government authority operating within Oklahoma.

FAQ

Q: What is a Scientific Collector's Permit?
A: A Scientific Collector's Permit is a document that allows individuals to collect and study scientific specimens in Oklahoma.

Q: Who needs to apply for a Scientific Collector's Permit?
A: Anyone who wants to collect scientific specimens in Oklahoma for research purposes needs to apply for a Scientific Collector's Permit.

Q: How can I apply for a Scientific Collector's Permit in Oklahoma?
A: To apply for a Scientific Collector's Permit in Oklahoma, you need to fill out an application form and submit it to the appropriate authorities.

Q: Are there any requirements to apply for a Scientific Collector's Permit in Oklahoma?
A: Yes, there are certain requirements to apply for a Scientific Collector's Permit in Oklahoma, such as providing information about your research project and demonstrating your qualifications.

Q: Is there a fee for a Scientific Collector's Permit in Oklahoma?
A: Yes, there is a fee for a Scientific Collector's Permit in Oklahoma. The fee amount may vary depending on the type of permit and duration.

Q: How long does it take to process a Scientific Collector's Permit application in Oklahoma?
A: The processing time for a Scientific Collector's Permit application in Oklahoma may vary, but it typically takes a few weeks to review and approve the application.

Q: Can I renew my Scientific Collector's Permit in Oklahoma?
A: Yes, you can renew your Scientific Collector's Permit in Oklahoma by submitting a renewal application before the expiration date of your current permit.

Q: What can I do with a Scientific Collector's Permit in Oklahoma?
A: With a Scientific Collector's Permit in Oklahoma, you can legally collect scientific specimens for research purposes, subject to the permit conditions and regulations.

Q: Are there any restrictions on the collection of scientific specimens with a Scientific Collector's Permit in Oklahoma?
A: Yes, there may be restrictions on the collection of certain species or in certain areas with a Scientific Collector's Permit in Oklahoma. It is important to follow the permit conditions and regulations.

ADVERTISEMENT

Form Details:

  • Released on December 4, 2019;
  • The latest edition currently provided by the Oklahoma Department of Wildlife Conservation;
  • Ready to use and print;
  • Easy to customize;
  • Compatible with most PDF-viewing applications;
  • Fill out the form in our online filing application.

Download a fillable version of the form by clicking the link below or browse more documents and templates provided by the Oklahoma Department of Wildlife Conservation.

Download Application for Scientific Collector's Permit - Oklahoma

4.7 of 5 (18 votes)
  • Application for Scientific Collector's Permit - Oklahoma

    1

  • Application for Scientific Collector's Permit - Oklahoma, Page 2

    2

  • Application for Scientific Collector's Permit - Oklahoma, Page 3

    3

  • Application for Scientific Collector's Permit - Oklahoma, Page 4

    4

  • Application for Scientific Collector's Permit - Oklahoma, Page 5

    5

  • Application for Scientific Collector's Permit - Oklahoma, Page 6

    6

  • Application for Scientific Collector's Permit - Oklahoma, Page 7

    7

  • Application for Scientific Collector's Permit - Oklahoma, Page 8

    8

  • Application for Scientific Collector's Permit - Oklahoma, Page 9

    9

  • Application for Scientific Collector's Permit - Oklahoma, Page 10

    10

  • Application for Scientific Collector's Permit - Oklahoma, Page 11

    11

  • Application for Scientific Collector's Permit - Oklahoma, Page 12

    12

  • Application for Scientific Collector's Permit - Oklahoma, Page 13

    13

  • Application for Scientific Collector's Permit - Oklahoma, Page 14

    14

  • Application for Scientific Collector's Permit - Oklahoma, Page 15

    15

  • Application for Scientific Collectors Permit - Oklahoma, Page 1
  • Application for Scientific Collectors Permit - Oklahoma, Page 2
  • Application for Scientific Collectors Permit - Oklahoma, Page 3
  • Application for Scientific Collectors Permit - Oklahoma, Page 4
  • Application for Scientific Collectors Permit - Oklahoma, Page 5
  • Application for Scientific Collectors Permit - Oklahoma, Page 6
  • Application for Scientific Collectors Permit - Oklahoma, Page 7
  • Application for Scientific Collectors Permit - Oklahoma, Page 8
  • Application for Scientific Collectors Permit - Oklahoma, Page 9
  • Application for Scientific Collectors Permit - Oklahoma, Page 10
  • Application for Scientific Collectors Permit - Oklahoma, Page 11
  • Application for Scientific Collectors Permit - Oklahoma, Page 12
  • Application for Scientific Collectors Permit - Oklahoma, Page 13
  • Application for Scientific Collectors Permit - Oklahoma, Page 14
  • Application for Scientific Collectors Permit - Oklahoma, Page 15
Prev 1 2 3 4 5 ... 15 Next
ADVERTISEMENT

Related Documents