Attachment B Guidelines for Purchases (Personal VS. Ddsn Funds) - South Carolina

Attachment B Guidelines for Purchases (Personal VS. Ddsn Funds) - South Carolina

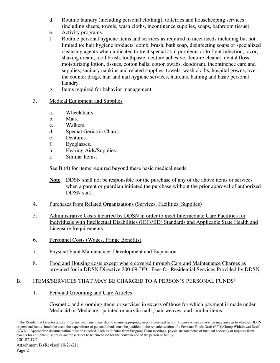
What Is Attachment B?

This is a legal form that was released by the South Carolina Department of Disabilities and Special Needs - a government authority operating within South Carolina. As of today, no separate filing guidelines for the form are provided by the issuing department.

FAQ

Q: What are the guidelines for purchases with personal vs. Ddsn funds?
A: The guidelines outline the rules for using personal and Ddsn funds for purchases.

Q: What is Ddsn?
A: Ddsn stands for the South Carolina Department of Disabilities and Special Needs.

Q: What is the purpose of these guidelines?
A: The guidelines provide clarity on how personal and Ddsn funds can be used for purchases in South Carolina.

Q: Are there any restrictions on using personal funds for purchases?
A: Yes, there are restrictions outlined in the guidelines on how personal funds can be used.

Q: Does Ddsn provide funds for purchases?
A: Yes, Ddsn provides funds that can be used for certain purchases as specified in the guidelines.

ADVERTISEMENT

Form Details:

  • Released on October 21, 2021;
  • The latest edition provided by the South Carolina Department of Disabilities and Special Needs;
  • Easy to use and ready to print;
  • Quick to customize;
  • Compatible with most PDF-viewing applications;
  • Fill out the form in our online filing application.

Download a printable version of Attachment B by clicking the link below or browse more documents and templates provided by the South Carolina Department of Disabilities and Special Needs.

Download Attachment B Guidelines for Purchases (Personal VS. Ddsn Funds) - South Carolina

4.4 of 5 (7 votes)
  • Attachment B Guidelines for Purchases (Personal VS. Ddsn Funds) - South Carolina

    1

  • Attachment B Guidelines for Purchases (Personal VS. Ddsn Funds) - South Carolina, Page 2

    2

  • Attachment B Guidelines for Purchases (Personal VS. Ddsn Funds) - South Carolina, Page 3

    3

  • Attachment B Guidelines for Purchases (Personal VS. Ddsn Funds) - South Carolina, Page 4

    4

  • Attachment B Guidelines for Purchases (Personal VS. Ddsn Funds) - South Carolina, Page 1
  • Attachment B Guidelines for Purchases (Personal VS. Ddsn Funds) - South Carolina, Page 2
  • Attachment B Guidelines for Purchases (Personal VS. Ddsn Funds) - South Carolina, Page 3
  • Attachment B Guidelines for Purchases (Personal VS. Ddsn Funds) - South Carolina, Page 4
Prev 1 2 3 4 Next
ADVERTISEMENT