Order of the Governor of the State of Maryland Number 20-03-30-04 - Authorizing Remote Notarizations - Maryland

Order of the Governor of the State of Maryland Number 20-03-30-04 - Authorizing Remote Notarizations - Maryland

Order of the Governor of the State of Maryland Number 20-03-30-04 - Authorizing Remote Notarizations is a legal document that was released by the Maryland Secretary of State - a government authority operating within Maryland.

FAQ

Q: What is the Order of the Governor of the State of Maryland Number 20-03-30-04?
A: Order of the Governor of the State of Maryland Number 20-03-30-04 is an official order issued by the Governor of Maryland.

Q: What does the order authorize?
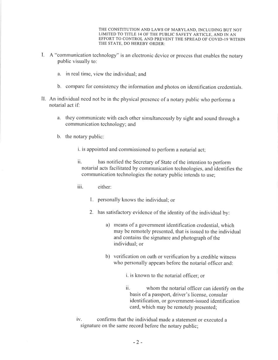
A: The order authorizes remote notarizations in Maryland.

Q: What is a remote notarization?
A: A remote notarization is the process of notarizing a document using audio-video technology.

Q: Why was remote notarization authorized?
A: Remote notarization was authorized to facilitate distancing measures and limit in-person contact during the COVID-19 pandemic.

Q: What are the requirements for remote notarization in Maryland?
A: The order outlines specific requirements for remote notarization, including the use of audio-video technology, identity verification, and recordkeeping.

Q: How long is the order in effect?
A: The duration of the order is specified in the order itself. Please refer to the document for the specific timeline.

ADVERTISEMENT

Form Details:

  • Released on March 30, 2020;
  • The latest edition currently provided by the Maryland Secretary of State;
  • Ready to use and print;
  • Easy to customize;
  • Compatible with most PDF-viewing applications;
  • Fill out the form in our online filing application.

Download a printable version of the form by clicking the link below or browse more documents and templates provided by the Maryland Secretary of State.

Download Order of the Governor of the State of Maryland Number 20-03-30-04 - Authorizing Remote Notarizations - Maryland

4.6 of 5 (27 votes)
  • Order of the Governor of the State of Maryland Number 20-03-30-04 - Authorizing Remote Notarizations - Maryland

    1

  • Order of the Governor of the State of Maryland Number 20-03-30-04 - Authorizing Remote Notarizations - Maryland, Page 2

    2

  • Order of the Governor of the State of Maryland Number 20-03-30-04 - Authorizing Remote Notarizations - Maryland, Page 3

    3

  • Order of the Governor of the State of Maryland Number 20-03-30-04 - Authorizing Remote Notarizations - Maryland, Page 1
  • Order of the Governor of the State of Maryland Number 20-03-30-04 - Authorizing Remote Notarizations - Maryland, Page 2
  • Order of the Governor of the State of Maryland Number 20-03-30-04 - Authorizing Remote Notarizations - Maryland, Page 3
Prev 1 2 3 Next
ADVERTISEMENT