Order of the Secretary of the Pennsylvania Department of Health Requiring Universal Face Coverings - Pennsylvania

Order of the Secretary of the Pennsylvania Department of Health Requiring Universal Face Coverings - Pennsylvania

ADVERTISEMENT

Download Order of the Secretary of the Pennsylvania Department of Health Requiring Universal Face Coverings - Pennsylvania

4.4 of 5 (25 votes)
  • Order of the Secretary of the Pennsylvania Department of Health Requiring Universal Face Coverings - Pennsylvania

    1

  • Order of the Secretary of the Pennsylvania Department of Health Requiring Universal Face Coverings - Pennsylvania, Page 2

    2

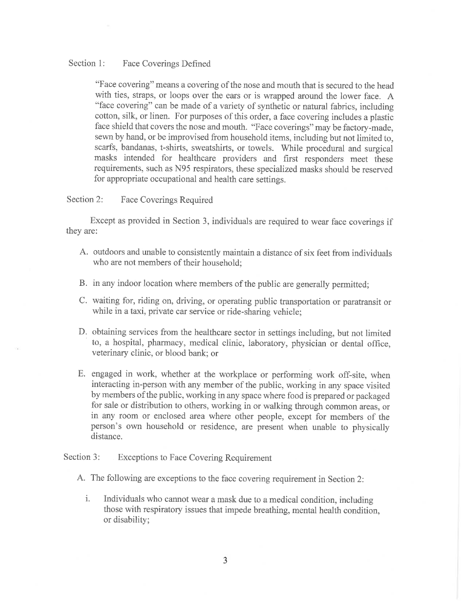
  • Order of the Secretary of the Pennsylvania Department of Health Requiring Universal Face Coverings - Pennsylvania, Page 3

    3

  • Order of the Secretary of the Pennsylvania Department of Health Requiring Universal Face Coverings - Pennsylvania, Page 4

    4

  • Order of the Secretary of the Pennsylvania Department of Health Requiring Universal Face Coverings - Pennsylvania, Page 1
  • Order of the Secretary of the Pennsylvania Department of Health Requiring Universal Face Coverings - Pennsylvania, Page 2
  • Order of the Secretary of the Pennsylvania Department of Health Requiring Universal Face Coverings - Pennsylvania, Page 3
  • Order of the Secretary of the Pennsylvania Department of Health Requiring Universal Face Coverings - Pennsylvania, Page 4
Prev 1 2 3 4 Next
ADVERTISEMENT