Form ES-3100 Application for Benefits - Kansas

Form ES-3100 Application for Benefits - Kansas

What Is Form ES-3100?

This is a legal form that was released by the Kansas Department for Children and Families - a government authority operating within Kansas. As of today, no separate filing guidelines for the form are provided by the issuing department.

FAQ

Q: What is the ES-3100 form?
A: The ES-3100 form is an Application for Benefits used in Kansas.

Q: Who can use the ES-3100 form?
A: Any individual or family in Kansas who wants to apply for public assistance benefits can use the ES-3100 form.

Q: What benefits can be applied for using the ES-3100 form?
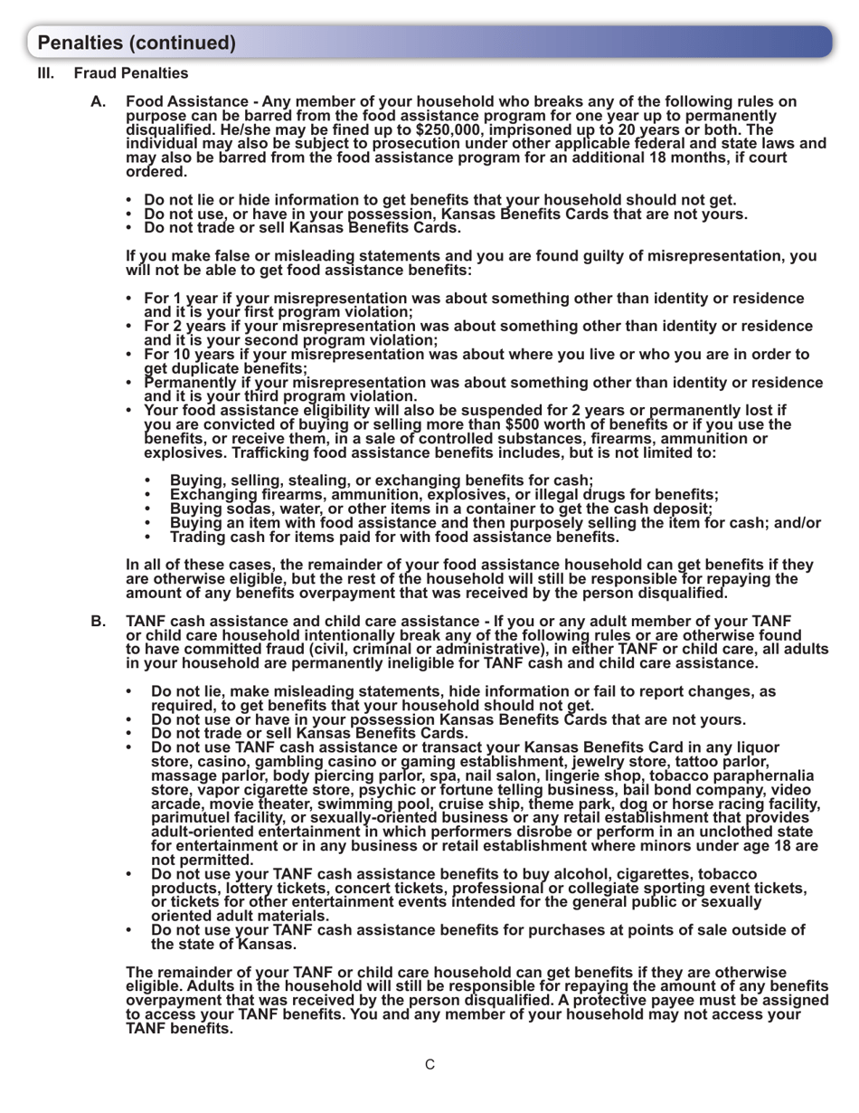
A: The ES-3100 form is used to apply for various benefits in Kansas, including cash assistance, food assistance, child care assistance, and medical assistance.

Q: What information is required on the ES-3100 form?
A: The ES-3100 form requires personal information, income details, household composition, and other relevant information to determine eligibility for benefits.

Q: How do I submit the ES-3100 form?
A: You can submit the completed ES-3100 form by mail, fax, or in person at your local DCF office.

Q: What happens after I submit the ES-3100 form?
A: After you submit the ES-3100 form, the Kansas Department for Children and Families will review your application and determine your eligibility for benefits.

Q: How long does it take to process the ES-3100 form?
A: The processing time for the ES-3100 form varies, but it typically takes around 30 days for a decision to be made on your application.

Q: Is there a deadline to submit the ES-3100 form?
A: There is no specific deadline to submit the ES-3100 form, but it is recommended to submit your application as soon as possible to ensure timely processing.

ADVERTISEMENT

Form Details:

  • Released on May 1, 2019;
  • The latest edition provided by the Kansas Department for Children and Families;
  • Easy to use and ready to print;
  • Quick to customize;
  • Compatible with most PDF-viewing applications;
  • Fill out the form in our online filing application.

Download a printable version of Form ES-3100 by clicking the link below or browse more documents and templates provided by the Kansas Department for Children and Families.

Download Form ES-3100 Application for Benefits - Kansas

4.7 of 5 (21 votes)
  • Form ES-3100 Application for Benefits - Kansas

    1

  • Form ES-3100 Application for Benefits - Kansas, Page 2

    2

  • Form ES-3100 Application for Benefits - Kansas, Page 3

    3

  • Form ES-3100 Application for Benefits - Kansas, Page 4

    4

  • Form ES-3100 Application for Benefits - Kansas, Page 5

    5

  • Form ES-3100 Application for Benefits - Kansas, Page 6

    6

  • Form ES-3100 Application for Benefits - Kansas, Page 7

    7

  • Form ES-3100 Application for Benefits - Kansas, Page 8

    8

  • Form ES-3100 Application for Benefits - Kansas, Page 9

    9

  • Form ES-3100 Application for Benefits - Kansas, Page 10

    10

  • Form ES-3100 Application for Benefits - Kansas, Page 11

    11

  • Form ES-3100 Application for Benefits - Kansas, Page 12

    12

  • Form ES-3100 Application for Benefits - Kansas, Page 13

    13

  • Form ES-3100 Application for Benefits - Kansas, Page 14

    14

  • Form ES-3100 Application for Benefits - Kansas, Page 15

    15

  • Form ES-3100 Application for Benefits - Kansas, Page 16

    16

  • Form ES-3100 Application for Benefits - Kansas, Page 17

    17

  • Form ES-3100 Application for Benefits - Kansas, Page 18

    18

  • Form ES-3100 Application for Benefits - Kansas, Page 19

    19

  • Form ES-3100 Application for Benefits - Kansas, Page 20

    20

  • Form ES-3100 Application for Benefits - Kansas, Page 21

    21

  • Form ES-3100 Application for Benefits - Kansas, Page 22

    22

  • Form ES-3100 Application for Benefits - Kansas, Page 23

    23

  • Form ES-3100 Application for Benefits - Kansas, Page 24

    24

  • Form ES-3100 Application for Benefits - Kansas, Page 25

    25

  • Form ES-3100 Application for Benefits - Kansas, Page 26

    26

  • Form ES-3100 Application for Benefits - Kansas, Page 27

    27

  • Form ES-3100 Application for Benefits - Kansas, Page 28

    28

  • Form ES-3100 Application for Benefits - Kansas, Page 29

    29

  • Form ES-3100 Application for Benefits - Kansas, Page 30

    30

  • Form ES-3100 Application for Benefits - Kansas, Page 31

    31

  • Form ES-3100 Application for Benefits - Kansas, Page 32

    32

  • Form ES-3100 Application for Benefits - Kansas, Page 1
  • Form ES-3100 Application for Benefits - Kansas, Page 2
  • Form ES-3100 Application for Benefits - Kansas, Page 3
  • Form ES-3100 Application for Benefits - Kansas, Page 4
  • Form ES-3100 Application for Benefits - Kansas, Page 5
  • Form ES-3100 Application for Benefits - Kansas, Page 6
  • Form ES-3100 Application for Benefits - Kansas, Page 7
  • Form ES-3100 Application for Benefits - Kansas, Page 8
  • Form ES-3100 Application for Benefits - Kansas, Page 9
  • Form ES-3100 Application for Benefits - Kansas, Page 10
  • Form ES-3100 Application for Benefits - Kansas, Page 11
  • Form ES-3100 Application for Benefits - Kansas, Page 12
  • Form ES-3100 Application for Benefits - Kansas, Page 13
  • Form ES-3100 Application for Benefits - Kansas, Page 14
  • Form ES-3100 Application for Benefits - Kansas, Page 15
  • Form ES-3100 Application for Benefits - Kansas, Page 16
  • Form ES-3100 Application for Benefits - Kansas, Page 17
  • Form ES-3100 Application for Benefits - Kansas, Page 18
  • Form ES-3100 Application for Benefits - Kansas, Page 19
  • Form ES-3100 Application for Benefits - Kansas, Page 20
  • Form ES-3100 Application for Benefits - Kansas, Page 21
  • Form ES-3100 Application for Benefits - Kansas, Page 22
  • Form ES-3100 Application for Benefits - Kansas, Page 23
  • Form ES-3100 Application for Benefits - Kansas, Page 24
  • Form ES-3100 Application for Benefits - Kansas, Page 25
  • Form ES-3100 Application for Benefits - Kansas, Page 26
  • Form ES-3100 Application for Benefits - Kansas, Page 27
  • Form ES-3100 Application for Benefits - Kansas, Page 28
  • Form ES-3100 Application for Benefits - Kansas, Page 29
  • Form ES-3100 Application for Benefits - Kansas, Page 30
  • Form ES-3100 Application for Benefits - Kansas, Page 31
  • Form ES-3100 Application for Benefits - Kansas, Page 32
Prev 1 2 3 4 5 ... 32 Next
ADVERTISEMENT