Women's Bowling Club Sponsorship Proposal Template

Women's Bowling Club Sponsorship Proposal Template

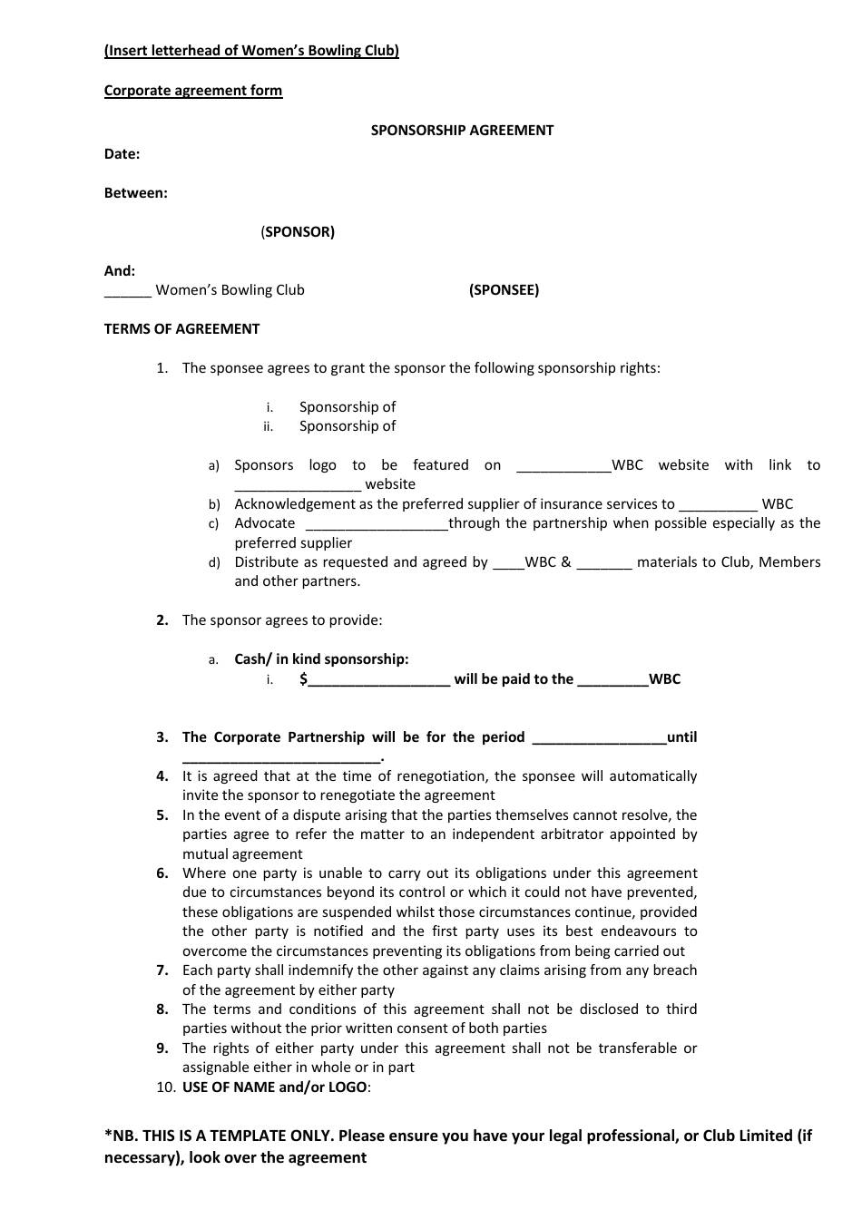
The Women's Bowling Club Sponsorship Proposal Template is a document used to propose sponsorships for a women's bowling club. It outlines the benefits of sponsoring the club and presents various sponsorship packages for potential sponsors to consider.

The Women's Bowling Club would typically file the sponsorship proposal template.

FAQ

Q: What is a sponsorship proposal?
A: A sponsorship proposal is a document that outlines a request for financial support from a potential sponsor.

Q: What is the purpose of a women's bowling club sponsorship proposal?
A: The purpose of a women's bowling club sponsorship proposal is to seek financial support from businesses or organizations to sponsor the club's activities and events.

Q: What should be included in a women's bowling club sponsorship proposal?
A: A women's bowling club sponsorship proposal should include information about the club, its achievements, proposed activities, benefits for the sponsor, and sponsorship packages available.

Q: How can a women's bowling club benefit from sponsorship?
A: Sponsorship can provide financial assistance to cover expenses, support club activities and events, and enhance the club's visibility and reputation in the community.

Q: How can businesses benefit from sponsoring a women's bowling club?
A: Sponsoring a women's bowling club can provide businesses with opportunities for brand exposure, community engagement, and reaching a targeted audience of club members and supporters.

ADVERTISEMENT

Download Women's Bowling Club Sponsorship Proposal Template

4.8 of 5 (28 votes)
  • Women's Bowling Club Sponsorship Proposal Template

    1

  • Women's Bowling Club Sponsorship Proposal Template, Page 2

    2

  • Women's Bowling Club Sponsorship Proposal Template, Page 3

    3

  • Women's Bowling Club Sponsorship Proposal Template, Page 4

    4

  • Women's Bowling Club Sponsorship Proposal Template, Page 5

    5

  • Women's Bowling Club Sponsorship Proposal Template Image Preview
  • Womens Bowling Club Sponsorship Proposal Template, Page 2
  • Womens Bowling Club Sponsorship Proposal Template, Page 3
  • Womens Bowling Club Sponsorship Proposal Template, Page 4
  • Womens Bowling Club Sponsorship Proposal Template, Page 5
Prev 1 2 3 4 5 Next
ADVERTISEMENT