Form 313 Application for Registration of a Foreign Series Limited Liability Company - Texas

Form 313 Application for Registration of a Foreign Series Limited Liability Company - Texas

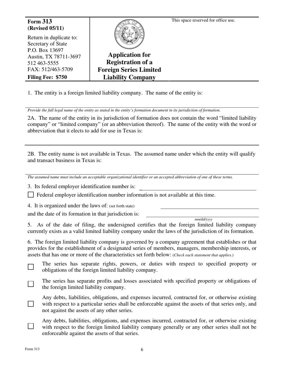
What Is Form 313?

This is a legal form that was released by the Texas Secretary of State - a government authority operating within Texas. As of today, no separate filing guidelines for the form are provided by the issuing department.

FAQ

Q: What is Form 313?
A: Form 313 is the Application for Registration of a Foreign Series Limited Liability Company in the state of Texas.

Q: Who should use Form 313?
A: Form 313 should be used by foreign series limited liability companies seeking to register in Texas.

Q: What information is required on Form 313?
A: Form 313 requires information such as the name of the foreign series LLC, the state or country of formation, the name and address of the registered agent in Texas, and details about the series being registered.

Q: Is there a deadline for filing Form 313?
A: There is no specific deadline for filing Form 313, but it is recommended to file it as soon as possible before conducting business in Texas.

Q: What happens after filing Form 313?
A: After filing Form 313, the Texas Secretary of State will review the application. If approved, the foreign series LLC will be registered in Texas.

Q: Can I make changes to my Form 313 after filing?
A: Yes, you can amend your Form 313 by filing a Statement of Amendment with the Texas Secretary of State.

ADVERTISEMENT

Form Details:

  • Released on May 1, 2011;
  • The latest edition provided by the Texas Secretary of State;
  • Easy to use and ready to print;
  • Quick to customize;
  • Compatible with most PDF-viewing applications;
  • Fill out the form in our online filing application.

Download a fillable version of Form 313 by clicking the link below or browse more documents and templates provided by the Texas Secretary of State.

Download Form 313 Application for Registration of a Foreign Series Limited Liability Company - Texas

4.8 of 5 (15 votes)
  • Form 313 Application for Registration of a Foreign Series Limited Liability Company - Texas

    1

  • Form 313 Application for Registration of a Foreign Series Limited Liability Company - Texas, Page 2

    2

  • Form 313 Application for Registration of a Foreign Series Limited Liability Company - Texas, Page 3

    3

  • Form 313 Application for Registration of a Foreign Series Limited Liability Company - Texas, Page 4

    4

  • Form 313 Application for Registration of a Foreign Series Limited Liability Company - Texas, Page 5

    5

  • Form 313 Application for Registration of a Foreign Series Limited Liability Company - Texas, Page 6

    6

  • Form 313 Application for Registration of a Foreign Series Limited Liability Company - Texas, Page 7

    7

  • Form 313 Application for Registration of a Foreign Series Limited Liability Company - Texas, Page 8

    8

  • Form 313 Application for Registration of a Foreign Series Limited Liability Company - Texas, Page 9

    9

  • Form 313 Application for Registration of a Foreign Series Limited Liability Company - Texas, Page 1
  • Form 313 Application for Registration of a Foreign Series Limited Liability Company - Texas, Page 2
  • Form 313 Application for Registration of a Foreign Series Limited Liability Company - Texas, Page 3
  • Form 313 Application for Registration of a Foreign Series Limited Liability Company - Texas, Page 4
  • Form 313 Application for Registration of a Foreign Series Limited Liability Company - Texas, Page 5
  • Form 313 Application for Registration of a Foreign Series Limited Liability Company - Texas, Page 6
  • Form 313 Application for Registration of a Foreign Series Limited Liability Company - Texas, Page 7
  • Form 313 Application for Registration of a Foreign Series Limited Liability Company - Texas, Page 8
  • Form 313 Application for Registration of a Foreign Series Limited Liability Company - Texas, Page 9
Prev 1 2 3 4 5 ... 9 Next
ADVERTISEMENT

Related Documents