Form 306 Application for Registration of a Foreign Limited Partnership - Texas

Form 306 Application for Registration of a Foreign Limited Partnership - Texas

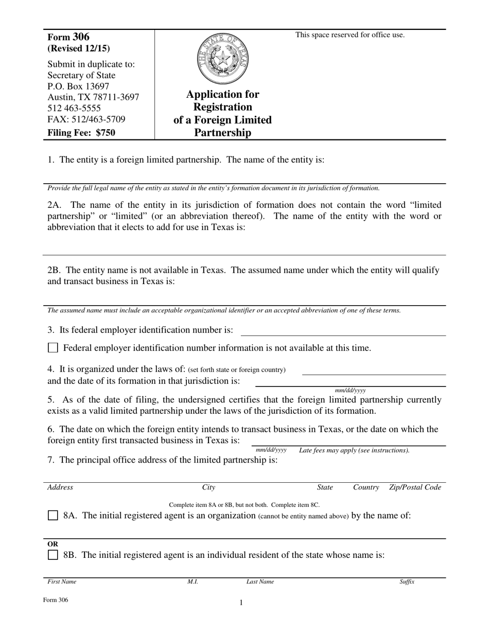
What Is Form 306?

This is a legal form that was released by the Texas Secretary of State - a government authority operating within Texas. As of today, no separate filing guidelines for the form are provided by the issuing department.

FAQ

Q: What is the Form 306?
A: Form 306 is the Application for Registration of a Foreign Limited Partnership in Texas.

Q: Who should file Form 306?
A: This form should be filed by a foreign limited partnership that wishes to do business in Texas.

Q: What is a foreign limited partnership?
A: A foreign limited partnership is a partnership formed in another state or country.

Q: What information is required in Form 306?
A: Form 306 requires information about the foreign limited partnership, its partners, and its registered agent in Texas.

Q: Are there any fees for filing Form 306?
A: Yes, there is a filing fee for Form 306. The fee varies depending on the type of partnership and the number of partners.

Q: Is it necessary to have a registered agent in Texas?
A: Yes, a foreign limited partnership must have a registered agent in Texas to accept legal documents on its behalf.

Q: What happens after Form 306 is approved?
A: After Form 306 is approved, the foreign limited partnership is registered to do business in Texas.

Q: What if there are changes to the information provided in Form 306?
A: If there are changes to the information provided in Form 306, an amended form must be filed with the Texas Secretary of State.

ADVERTISEMENT

Form Details:

  • Released on December 1, 2015;
  • The latest edition provided by the Texas Secretary of State;
  • Easy to use and ready to print;
  • Quick to customize;
  • Compatible with most PDF-viewing applications;
  • Fill out the form in our online filing application.

Download a fillable version of Form 306 by clicking the link below or browse more documents and templates provided by the Texas Secretary of State.

Download Form 306 Application for Registration of a Foreign Limited Partnership - Texas

4.5 of 5 (32 votes)
  • Form 306 Application for Registration of a Foreign Limited Partnership - Texas

    1

  • Form 306 Application for Registration of a Foreign Limited Partnership - Texas, Page 2

    2

  • Form 306 Application for Registration of a Foreign Limited Partnership - Texas, Page 3

    3

  • Form 306 Application for Registration of a Foreign Limited Partnership - Texas, Page 4

    4

  • Form 306 Application for Registration of a Foreign Limited Partnership - Texas, Page 5

    5

  • Form 306 Application for Registration of a Foreign Limited Partnership - Texas, Page 6

    6

  • Form 306 Application for Registration of a Foreign Limited Partnership - Texas, Page 7

    7

  • Form 306 Application for Registration of a Foreign Limited Partnership - Texas, Page 8

    8

  • Form 306 Application for Registration of a Foreign Limited Partnership - Texas, Page 1
  • Form 306 Application for Registration of a Foreign Limited Partnership - Texas, Page 2
  • Form 306 Application for Registration of a Foreign Limited Partnership - Texas, Page 3
  • Form 306 Application for Registration of a Foreign Limited Partnership - Texas, Page 4
  • Form 306 Application for Registration of a Foreign Limited Partnership - Texas, Page 5
  • Form 306 Application for Registration of a Foreign Limited Partnership - Texas, Page 6
  • Form 306 Application for Registration of a Foreign Limited Partnership - Texas, Page 7
  • Form 306 Application for Registration of a Foreign Limited Partnership - Texas, Page 8
Prev 1 2 3 4 5 ... 8 Next
ADVERTISEMENT

Related Documents