Form 311 Application for Registration for a Foreign Professional Association - Texas

Form 311 Application for Registration for a Foreign Professional Association - Texas

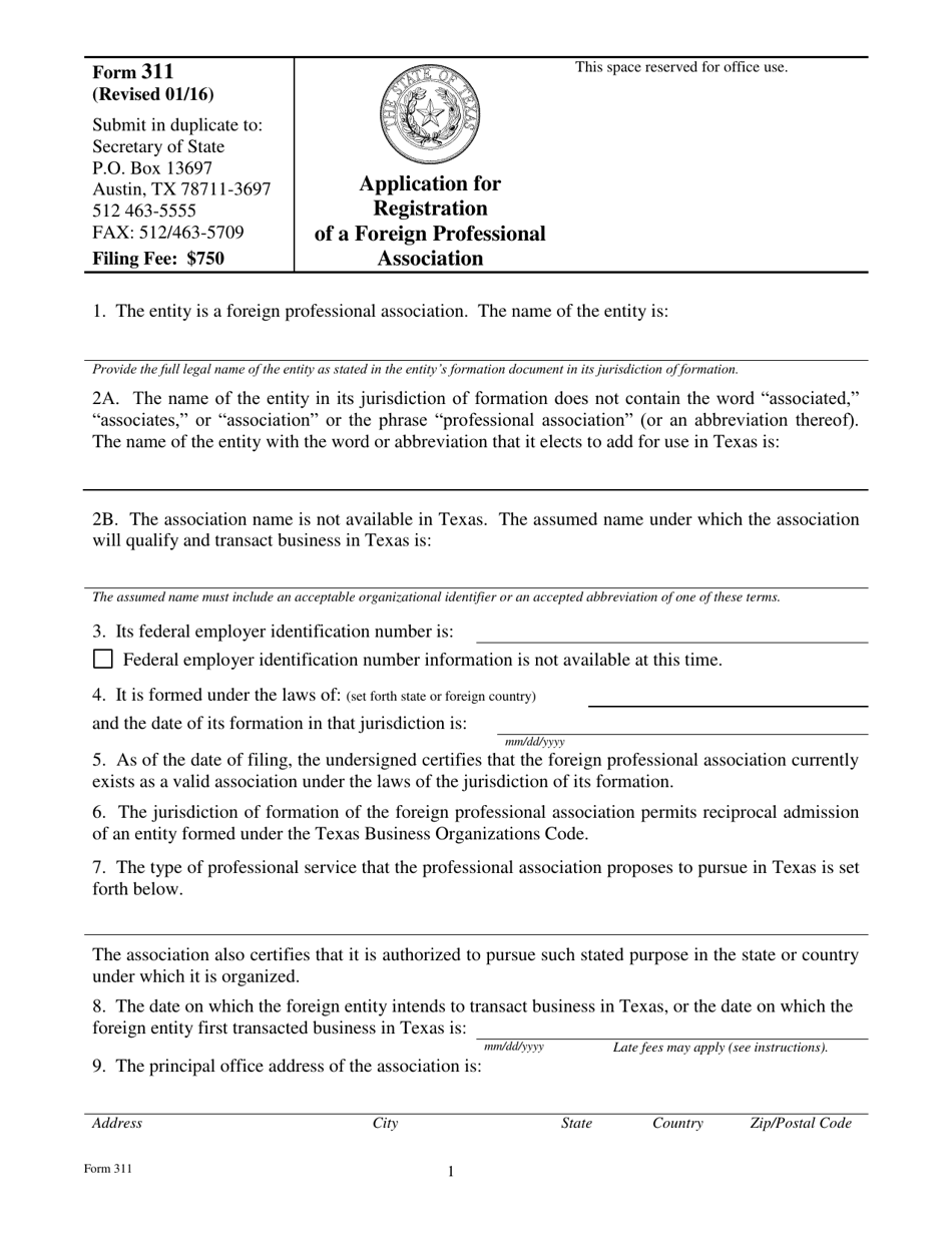
What Is Form 311?

This is a legal form that was released by the Texas Secretary of State - a government authority operating within Texas. As of today, no separate filing guidelines for the form are provided by the issuing department.

FAQ

Q: What is Form 311?
A: Form 311 is the Application for Registration for a Foreign Professional Association in Texas.

Q: Who needs to file Form 311?
A: Foreign professional associations who want to operate in Texas need to file Form 311.

Q: What is the purpose of Form 311?
A: The purpose of Form 311 is to register a foreign professional association with the Texas Secretary of State.

Q: What information is required on Form 311?
A: Form 311 requires information about the foreign professional association, its officers, and its activities in Texas.

Q: Are there any additional documents required with Form 311?
A: Yes, foreign professional associations must also submit a Certificate of Existence or Good Standing from their home jurisdiction.

Q: Who can I contact for assistance with Form 311?
A: For assistance with Form 311, you can contact the Texas Secretary of State or consult the instructions provided with the form.

ADVERTISEMENT

Form Details:

  • Released on January 1, 2016;
  • The latest edition provided by the Texas Secretary of State;
  • Easy to use and ready to print;
  • Quick to customize;
  • Compatible with most PDF-viewing applications;
  • Fill out the form in our online filing application.

Download a fillable version of Form 311 by clicking the link below or browse more documents and templates provided by the Texas Secretary of State.

Download Form 311 Application for Registration for a Foreign Professional Association - Texas

4.4 of 5 (60 votes)
  • Form 311 Application for Registration for a Foreign Professional Association - Texas

    1

  • Form 311 Application for Registration for a Foreign Professional Association - Texas, Page 2

    2

  • Form 311 Application for Registration for a Foreign Professional Association - Texas, Page 3

    3

  • Form 311 Application for Registration for a Foreign Professional Association - Texas, Page 4

    4

  • Form 311 Application for Registration for a Foreign Professional Association - Texas, Page 5

    5

  • Form 311 Application for Registration for a Foreign Professional Association - Texas, Page 6

    6

  • Form 311 Application for Registration for a Foreign Professional Association - Texas, Page 7

    7

  • Form 311 Application for Registration for a Foreign Professional Association - Texas, Page 8

    8

  • Form 311 Application for Registration for a Foreign Professional Association - Texas, Page 1
  • Form 311 Application for Registration for a Foreign Professional Association - Texas, Page 2
  • Form 311 Application for Registration for a Foreign Professional Association - Texas, Page 3
  • Form 311 Application for Registration for a Foreign Professional Association - Texas, Page 4
  • Form 311 Application for Registration for a Foreign Professional Association - Texas, Page 5
  • Form 311 Application for Registration for a Foreign Professional Association - Texas, Page 6
  • Form 311 Application for Registration for a Foreign Professional Association - Texas, Page 7
  • Form 311 Application for Registration for a Foreign Professional Association - Texas, Page 8
Prev 1 2 3 4 5 ... 8 Next
ADVERTISEMENT

Related Documents