Form 307 Application for Registration of a Foreign Limited Liability Partnership - Texas

Form 307 Application for Registration of a Foreign Limited Liability Partnership - Texas

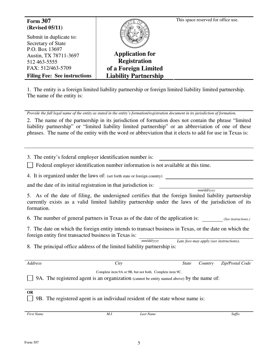
What Is Form 307?

This is a legal form that was released by the Texas Secretary of State - a government authority operating within Texas. As of today, no separate filing guidelines for the form are provided by the issuing department.

FAQ

Q: What is Form 307?
A: Form 307 is the Application for Registration of a Foreign Limited Liability Partnership in Texas.

Q: Who needs to fill out Form 307?
A: Foreign limited liability partnerships that want to do business in Texas need to fill out Form 307.

Q: What is the purpose of Form 307?
A: The purpose of Form 307 is to register a foreign limited liability partnership in Texas.

Q: What information is required on Form 307?
A: Form 307 requires information such as the name of the foreign limited liability partnership, the jurisdiction where it was formed, and the address of its principal office.

Q: What happens after filing Form 307?
A: After filing Form 307, the foreign limited liability partnership will be registered to do business in Texas.

Q: Is it mandatory to register a foreign limited liability partnership in Texas?
A: Yes, it is mandatory for foreign limited liability partnerships to register in Texas before conducting business in the state.

Q: Can I get assistance with filling out Form 307?
A: Yes, you can seek guidance from the Texas Secretary of State's office or consult with a legal professional for assistance with filling out Form 307.

ADVERTISEMENT

Form Details:

  • Released on May 1, 2011;
  • The latest edition provided by the Texas Secretary of State;
  • Easy to use and ready to print;
  • Quick to customize;
  • Compatible with most PDF-viewing applications;
  • Fill out the form in our online filing application.

Download a fillable version of Form 307 by clicking the link below or browse more documents and templates provided by the Texas Secretary of State.

Download Form 307 Application for Registration of a Foreign Limited Liability Partnership - Texas

4.4 of 5 (19 votes)
  • Form 307 Application for Registration of a Foreign Limited Liability Partnership - Texas

    1

  • Form 307 Application for Registration of a Foreign Limited Liability Partnership - Texas, Page 2

    2

  • Form 307 Application for Registration of a Foreign Limited Liability Partnership - Texas, Page 3

    3

  • Form 307 Application for Registration of a Foreign Limited Liability Partnership - Texas, Page 4

    4

  • Form 307 Application for Registration of a Foreign Limited Liability Partnership - Texas, Page 5

    5

  • Form 307 Application for Registration of a Foreign Limited Liability Partnership - Texas, Page 6

    6

  • Form 307 Application for Registration of a Foreign Limited Liability Partnership - Texas, Page 1
  • Form 307 Application for Registration of a Foreign Limited Liability Partnership - Texas, Page 2
  • Form 307 Application for Registration of a Foreign Limited Liability Partnership - Texas, Page 3
  • Form 307 Application for Registration of a Foreign Limited Liability Partnership - Texas, Page 4
  • Form 307 Application for Registration of a Foreign Limited Liability Partnership - Texas, Page 5
  • Form 307 Application for Registration of a Foreign Limited Liability Partnership - Texas, Page 6
Prev 1 2 3 4 5 6 Next
ADVERTISEMENT

Related Documents