Form 301 Application for Registration of a Foreign for-Profit Corporation - Texas

Form 301 Application for Registration of a Foreign for-Profit Corporation - Texas

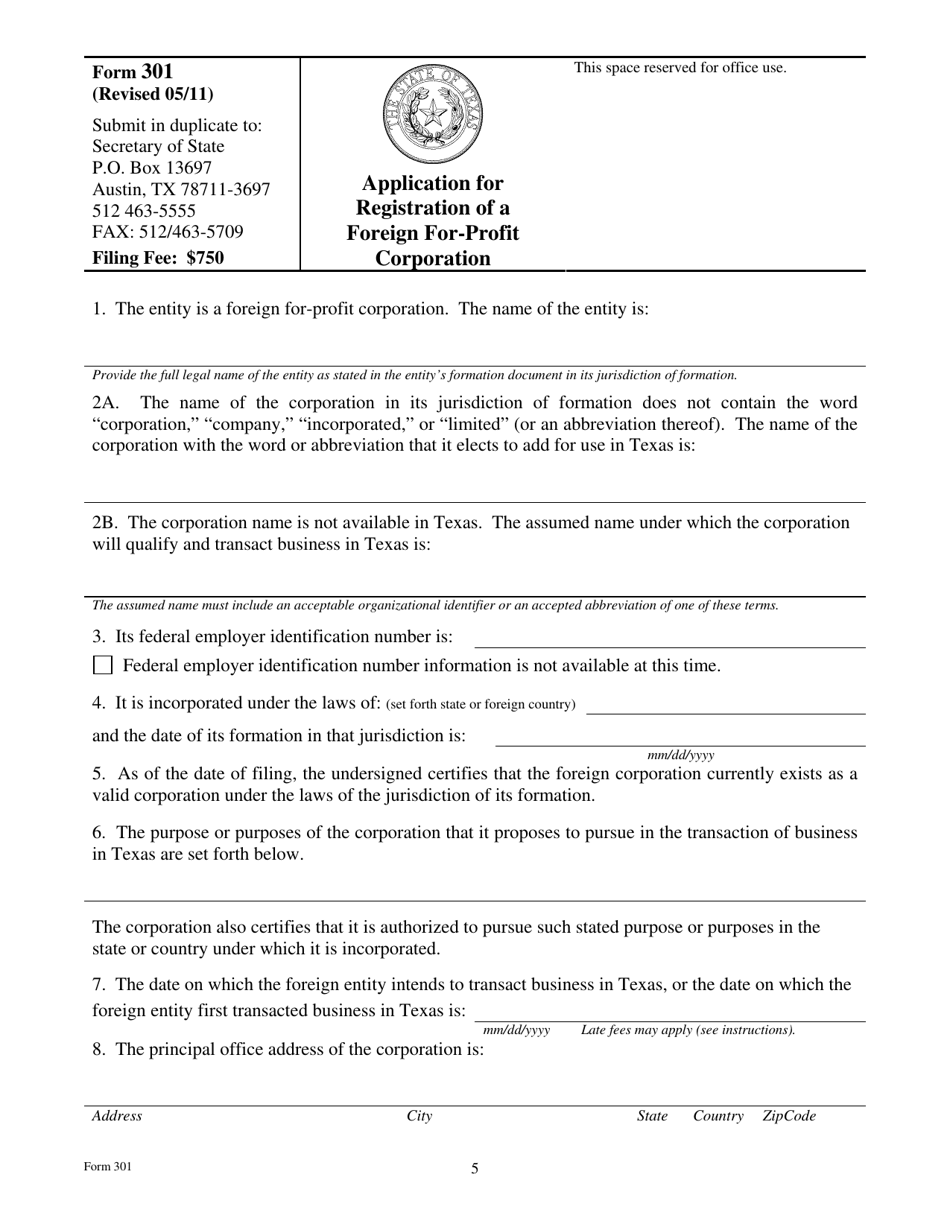
What Is Form 301?

This is a legal form that was released by the Texas Secretary of State - a government authority operating within Texas. As of today, no separate filing guidelines for the form are provided by the issuing department.

FAQ

Q: What is Form 301?
A: Form 301 is the application for registration of a foreign for-profit corporation in the state of Texas.

Q: Who needs to file Form 301?
A: Foreign for-profit corporations that wish to do business in Texas need to file Form 301.

Q: What is a foreign for-profit corporation?
A: A foreign for-profit corporation is a corporation that was formed outside of Texas.

Q: What information is required on Form 301?
A: Form 301 requires information such as the corporation's name, address, registered agent, and the state or country of incorporation.

Q: What happens after Form 301 is filed?
A: After Form 301 is filed and the fee is paid, the Texas Secretary of State will review the application and, if approved, issue a certificate of authority to do business in Texas.

Q: Is it mandatory to file Form 301?
A: Yes, it is mandatory for foreign for-profit corporations to file Form 301 in order to legally do business in Texas.

Q: Are there any additional requirements for foreign for-profit corporations in Texas?
A: Foreign for-profit corporations may be required to appoint and maintain a registered agent in Texas and may also be subject to certain taxes and reporting obligations.

ADVERTISEMENT

Form Details:

  • Released on May 1, 2011;
  • The latest edition provided by the Texas Secretary of State;
  • Easy to use and ready to print;
  • Quick to customize;
  • Compatible with most PDF-viewing applications;
  • Fill out the form in our online filing application.

Download a fillable version of Form 301 by clicking the link below or browse more documents and templates provided by the Texas Secretary of State.

Download Form 301 Application for Registration of a Foreign for-Profit Corporation - Texas

4.8 of 5 (38 votes)
  • Form 301 Application for Registration of a Foreign for-Profit Corporation - Texas

    1

  • Form 301 Application for Registration of a Foreign for-Profit Corporation - Texas, Page 2

    2

  • Form 301 Application for Registration of a Foreign for-Profit Corporation - Texas, Page 3

    3

  • Form 301 Application for Registration of a Foreign for-Profit Corporation - Texas, Page 4

    4

  • Form 301 Application for Registration of a Foreign for-Profit Corporation - Texas, Page 5

    5

  • Form 301 Application for Registration of a Foreign for-Profit Corporation - Texas, Page 6

    6

  • Form 301 Application for Registration of a Foreign for-Profit Corporation - Texas, Page 7

    7

  • Form 301 Application for Registration of a Foreign for-Profit Corporation - Texas, Page 1
  • Form 301 Application for Registration of a Foreign for-Profit Corporation - Texas, Page 2
  • Form 301 Application for Registration of a Foreign for-Profit Corporation - Texas, Page 3
  • Form 301 Application for Registration of a Foreign for-Profit Corporation - Texas, Page 4
  • Form 301 Application for Registration of a Foreign for-Profit Corporation - Texas, Page 5
  • Form 301 Application for Registration of a Foreign for-Profit Corporation - Texas, Page 6
  • Form 301 Application for Registration of a Foreign for-Profit Corporation - Texas, Page 7
Prev 1 2 3 4 5 ... 7 Next
ADVERTISEMENT

Related Documents