Form 304 Application for Registration of a Foreign Limited Liability Company - Texas

Form 304 Application for Registration of a Foreign Limited Liability Company - Texas

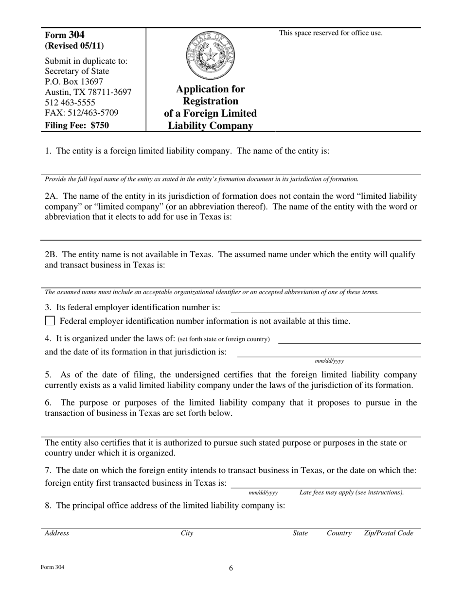
What Is Form 304?

This is a legal form that was released by the Texas Secretary of State - a government authority operating within Texas. As of today, no separate filing guidelines for the form are provided by the issuing department.

FAQ

Q: What is Form 304?
A: Form 304 is the Application for Registration of a Foreign Limited Liability Company in Texas.

Q: Who should file Form 304?
A: Form 304 should be filed by a foreign limited liability company that wishes to register to do business in Texas.

Q: What is a foreign limited liability company?
A: A foreign limited liability company is a company that was formed in a state or country other than Texas.

Q: What information is needed to complete Form 304?
A: To complete Form 304, you will need to provide information about the foreign limited liability company, including its name, jurisdiction of formation, and principal office address.

Q: Is there a fee to file Form 304?
A: Yes, there is a fee associated with filing Form 304. The current fee is $750.

Q: What is the deadline for filing Form 304?
A: Form 304 must be filed within 90 days of the foreign limited liability company's registration in Texas.

Q: Are there any additional requirements for foreign limited liability companies in Texas?
A: Yes, foreign limited liability companies are required to appoint and maintain a registered agent in Texas and to file an annual report with the Texas Secretary of State.

Q: What happens after Form 304 is filed?
A: After Form 304 is filed and the fee is paid, the foreign limited liability company will be registered to do business in Texas and will receive a Certificate of Authority.

ADVERTISEMENT

Form Details:

  • Released on May 1, 2011;
  • The latest edition provided by the Texas Secretary of State;
  • Easy to use and ready to print;
  • Quick to customize;
  • Compatible with most PDF-viewing applications;
  • Fill out the form in our online filing application.

Download a fillable version of Form 304 by clicking the link below or browse more documents and templates provided by the Texas Secretary of State.

Download Form 304 Application for Registration of a Foreign Limited Liability Company - Texas

4.3 of 5 (61 votes)
  • Form 304 Application for Registration of a Foreign Limited Liability Company - Texas

    1

  • Form 304 Application for Registration of a Foreign Limited Liability Company - Texas, Page 2

    2

  • Form 304 Application for Registration of a Foreign Limited Liability Company - Texas, Page 3

    3

  • Form 304 Application for Registration of a Foreign Limited Liability Company - Texas, Page 4

    4

  • Form 304 Application for Registration of a Foreign Limited Liability Company - Texas, Page 5

    5

  • Form 304 Application for Registration of a Foreign Limited Liability Company - Texas, Page 6

    6

  • Form 304 Application for Registration of a Foreign Limited Liability Company - Texas, Page 7

    7

  • Form 304 Application for Registration of a Foreign Limited Liability Company - Texas, Page 8

    8

  • Form 304 Application for Registration of a Foreign Limited Liability Company - Texas, Page 1
  • Form 304 Application for Registration of a Foreign Limited Liability Company - Texas, Page 2
  • Form 304 Application for Registration of a Foreign Limited Liability Company - Texas, Page 3
  • Form 304 Application for Registration of a Foreign Limited Liability Company - Texas, Page 4
  • Form 304 Application for Registration of a Foreign Limited Liability Company - Texas, Page 5
  • Form 304 Application for Registration of a Foreign Limited Liability Company - Texas, Page 6
  • Form 304 Application for Registration of a Foreign Limited Liability Company - Texas, Page 7
  • Form 304 Application for Registration of a Foreign Limited Liability Company - Texas, Page 8
Prev 1 2 3 4 5 ... 8 Next
ADVERTISEMENT

Related Documents