Bloodborne Exposure Incident Report Form

Bloodborne Exposure Incident Report Form

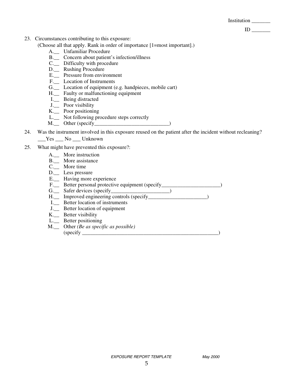
The Bloodborne Exposure Incident Report Form is used to report any incidents where individuals may have been exposed to bloodborne pathogens, such as HIV or Hepatitis B, in the workplace. This form allows for documentation and appropriate follow-up to ensure the well-being of those involved.

The person who had the bloodborne exposure incident typically files the Bloodborne Exposure Incident Report Form.

FAQ

Q: What is the Bloodborne Exposure Incident Report Form?
A: The Bloodborne Exposure Incident Report Form is a document used to report incidents where individuals are exposed to potentially infectious materials, such as blood or bodily fluids.

Q: When should the Bloodborne Exposure Incident Report Form be used?
A: The Bloodborne Exposure Incident Report Form should be used whenever there is an incident of exposure to potentially infectious materials.

Q: Who should fill out the Bloodborne Exposure Incident Report Form?
A: The person who was exposed to potentially infectious materials, or someone who witnessed the incident, should fill out the form.

Q: What information is required on the Bloodborne Exposure Incident Report Form?
A: The form typically requires information such as the date and time of the incident, the location, details of the exposure, and information about the source of the potentially infectious material.

ADVERTISEMENT

Download Bloodborne Exposure Incident Report Form

4.3 of 5 (13 votes)
  • Bloodborne Exposure Incident Report Form

    1

  • Bloodborne Exposure Incident Report Form, Page 2

    2

  • Bloodborne Exposure Incident Report Form, Page 3

    3

  • Bloodborne Exposure Incident Report Form, Page 4

    4

  • Bloodborne Exposure Incident Report Form, Page 5

    5

  • Bloodborne Exposure Incident Report Form, Page 6

    6

  • Bloodborne Exposure Incident Report Form, Page 7

    7

  • Bloodborne Exposure Incident Report Form, Page 8

    8

  • Bloodborne Exposure Incident Report Form, Page 1
  • Bloodborne Exposure Incident Report Form, Page 2
  • Bloodborne Exposure Incident Report Form, Page 3
  • Bloodborne Exposure Incident Report Form, Page 4
  • Bloodborne Exposure Incident Report Form, Page 5
  • Bloodborne Exposure Incident Report Form, Page 6
  • Bloodborne Exposure Incident Report Form, Page 7
  • Bloodborne Exposure Incident Report Form, Page 8
Prev 1 2 3 4 5 ... 8 Next
ADVERTISEMENT