Form GV-130 Gun Violence Restraining Order After Hearing or Consent to Gun Violence Restraining Order - California

Form GV-130 Gun Violence Restraining Order After Hearing or Consent to Gun Violence Restraining Order - California

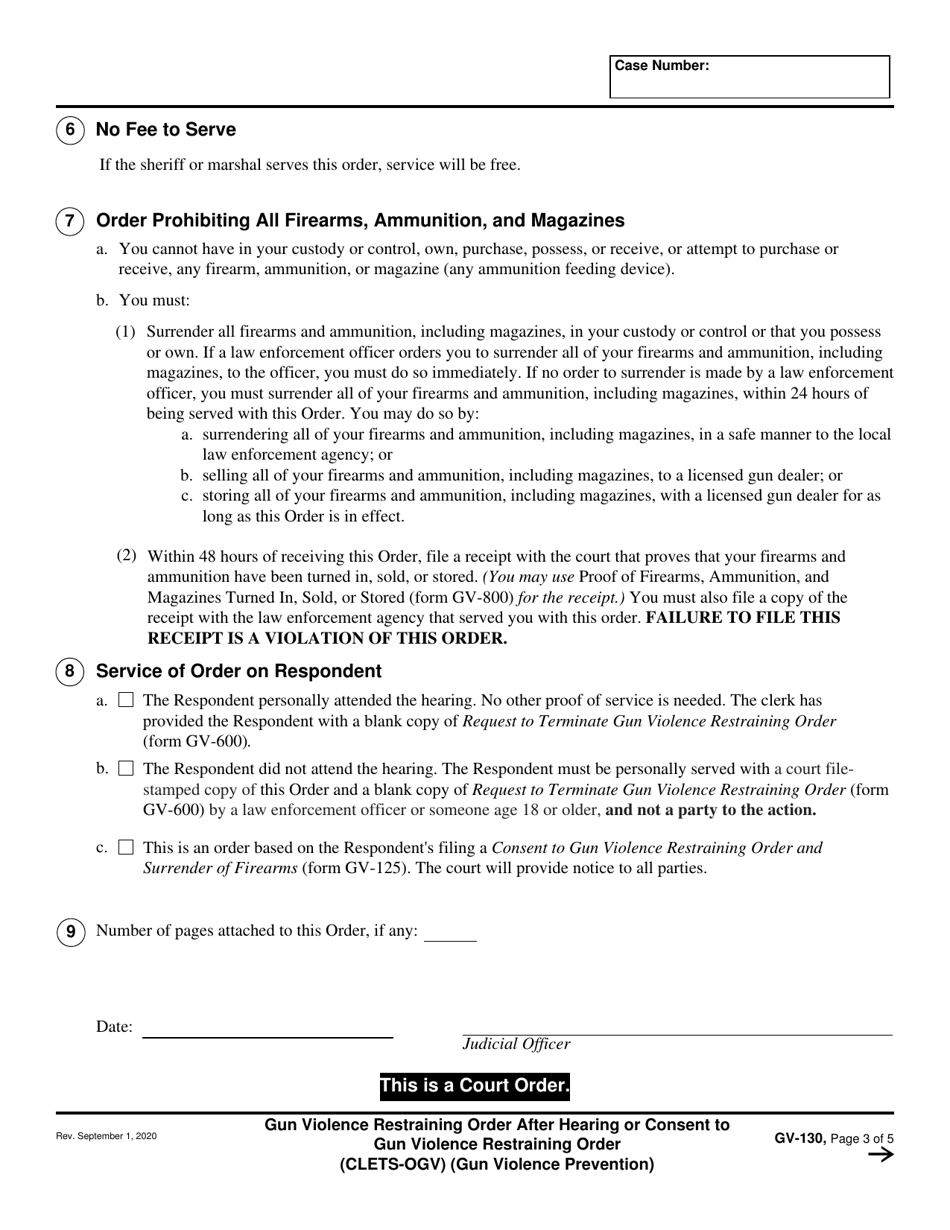
What Is Form GV-130?

This is a legal form that was released by the California Superior Court - a government authority operating within California. As of today, no separate filing guidelines for the form are provided by the issuing department.

FAQ

Q: What is a GV-130 Gun Violence Restraining Order?
A: A GV-130 Gun Violence Restraining Order is a legal document issued by the state of California.

Q: Who can apply for a GV-130 Gun Violence Restraining Order?
A: The petitioner, who can be a family member or a law enforcement officer, can apply for a GV-130 Gun Violence Restraining Order.

Q: What is the purpose of a GV-130 Gun Violence Restraining Order?
A: The purpose of a GV-130 Gun Violence Restraining Order is to restrict an individual's access to firearms if they pose a risk of violence or harm to themselves or others.

Q: What happens after a GV-130 Gun Violence Restraining Order is issued?
A: Once a GV-130 Gun Violence Restraining Order is issued, the restrained individual must surrender their firearms and not possess or attempt to purchase firearms for the duration of the order.

Q: How long does a GV-130 Gun Violence Restraining Order last?
A: A GV-130 Gun Violence Restraining Order can last up to one year, with the possibility of renewal if necessary.

Q: What happens if someone violates a GV-130 Gun Violence Restraining Order?
A: Violating a GV-130 Gun Violence Restraining Order is a criminal offense and can result in penalties such as fines and imprisonment.

ADVERTISEMENT

Form Details:

  • Released on September 1, 2020;
  • The latest edition provided by the California Superior Court;
  • Easy to use and ready to print;
  • Available in Chinese;
  • Quick to customize;
  • Compatible with most PDF-viewing applications;
  • Fill out the form in our online filing application.

Download a fillable version of Form GV-130 by clicking the link below or browse more documents and templates provided by the California Superior Court.

Download Form GV-130 Gun Violence Restraining Order After Hearing or Consent to Gun Violence Restraining Order - California

4.3 of 5 (18 votes)
  • Form GV-130 Gun Violence Restraining Order After Hearing or Consent to Gun Violence Restraining Order - California

    1

  • Form GV-130 Gun Violence Restraining Order After Hearing or Consent to Gun Violence Restraining Order - California, Page 2

    2

  • Form GV-130 Gun Violence Restraining Order After Hearing or Consent to Gun Violence Restraining Order - California, Page 3

    3

  • Form GV-130 Gun Violence Restraining Order After Hearing or Consent to Gun Violence Restraining Order - California, Page 4

    4

  • Form GV-130 Gun Violence Restraining Order After Hearing or Consent to Gun Violence Restraining Order - California, Page 5

    5

  • Form GV-130 Gun Violence Restraining Order After Hearing or Consent to Gun Violence Restraining Order - California, Page 1
  • Form GV-130 Gun Violence Restraining Order After Hearing or Consent to Gun Violence Restraining Order - California, Page 2
  • Form GV-130 Gun Violence Restraining Order After Hearing or Consent to Gun Violence Restraining Order - California, Page 3
  • Form GV-130 Gun Violence Restraining Order After Hearing or Consent to Gun Violence Restraining Order - California, Page 4
  • Form GV-130 Gun Violence Restraining Order After Hearing or Consent to Gun Violence Restraining Order - California, Page 5
Prev 1 2 3 4 5 Next
ADVERTISEMENT

Related Documents