Form GV-110 Temporary Gun Violence Restraining Order - California

Notification Icon This version of the form is not currently in use and is provided for reference only. Download this version of Form GV-110 for the current year.

Form GV-110 Temporary Gun Violence Restraining Order - California

What Is Form GV-110?

This is a legal form that was released by the California Superior Court - a government authority operating within California. As of today, no separate filing guidelines for the form are provided by the issuing department.

FAQ

Q: What is GV-110?
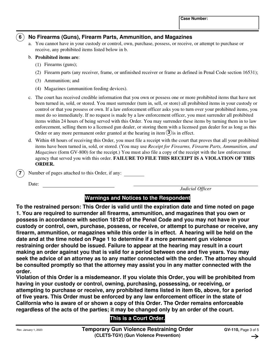
A: GV-110 is a temporary gun violence restraining order form in California.

Q: What is a gun violence restraining order?
A: A gun violence restraining order is a court order that temporarily prohibits a person from possessing firearms or ammunition.

Q: Who can file a GV-110?
A: A credible person, such as a family member or a law enforcement officer, can file a GV-110.

Q: What is the purpose of filing a GV-110?
A: The purpose of filing a GV-110 is to protect individuals from gun violence by temporarily removing firearms from individuals who pose a risk.

Q: How long does a GV-110 last?
A: A temporary gun violence restraining order typically lasts for 21 days, but it can be extended to one year after a hearing.

Q: What is the process for obtaining a GV-110?
A: To obtain a GV-110, a person must complete the form, file it with the court, and provide supporting evidence to justify the need for the restraining order.

Q: What happens after a GV-110 is filed?
A: After a GV-110 is filed, the court will review the application and may issue a temporary gun violence restraining order if there is sufficient evidence.

Q: What are the consequences if someone violates a GV-110?
A: Violating a GV-110 can result in criminal charges and penalties, including fines and imprisonment.

Q: Can a GV-110 be renewed?
A: Yes, a GV-110 can be renewed by filing a request for extension with the court before the current order expires.

Q: Can a GV-110 be challenged?
A: Yes, a person subject to a GV-110 can challenge the order by requesting a hearing and presenting evidence to dispute the need for the restraining order.

Q: Is a GV-110 only applicable in California?
A: Yes, a GV-110 is specific to California and its gun violence restraining order laws.

ADVERTISEMENT

Form Details:

  • Released on January 1, 2023;
  • The latest edition provided by the California Superior Court;
  • Easy to use and ready to print;
  • Available in Spanish;
  • Quick to customize;
  • Compatible with most PDF-viewing applications;
  • Fill out the form in our online filing application.

Download a fillable version of Form GV-110 by clicking the link below or browse more documents and templates provided by the California Superior Court.

Download Form GV-110 Temporary Gun Violence Restraining Order - California

4.8 of 5 (17 votes)
  • Form GV-110 Temporary Gun Violence Restraining Order - California

    1

  • Form GV-110 Temporary Gun Violence Restraining Order - California, Page 2

    2

  • Form GV-110 Temporary Gun Violence Restraining Order - California, Page 3

    3

  • Form GV-110 Temporary Gun Violence Restraining Order - California, Page 4

    4

  • Form GV-110 Temporary Gun Violence Restraining Order - California, Page 5

    5

  • Form GV-110 Temporary Gun Violence Restraining Order - California, Page 1
  • Form GV-110 Temporary Gun Violence Restraining Order - California, Page 2
  • Form GV-110 Temporary Gun Violence Restraining Order - California, Page 3
  • Form GV-110 Temporary Gun Violence Restraining Order - California, Page 4
  • Form GV-110 Temporary Gun Violence Restraining Order - California, Page 5
Prev 1 2 3 4 5 Next
ADVERTISEMENT

Related Documents