Standard Form of Lease

Standard Form of Lease

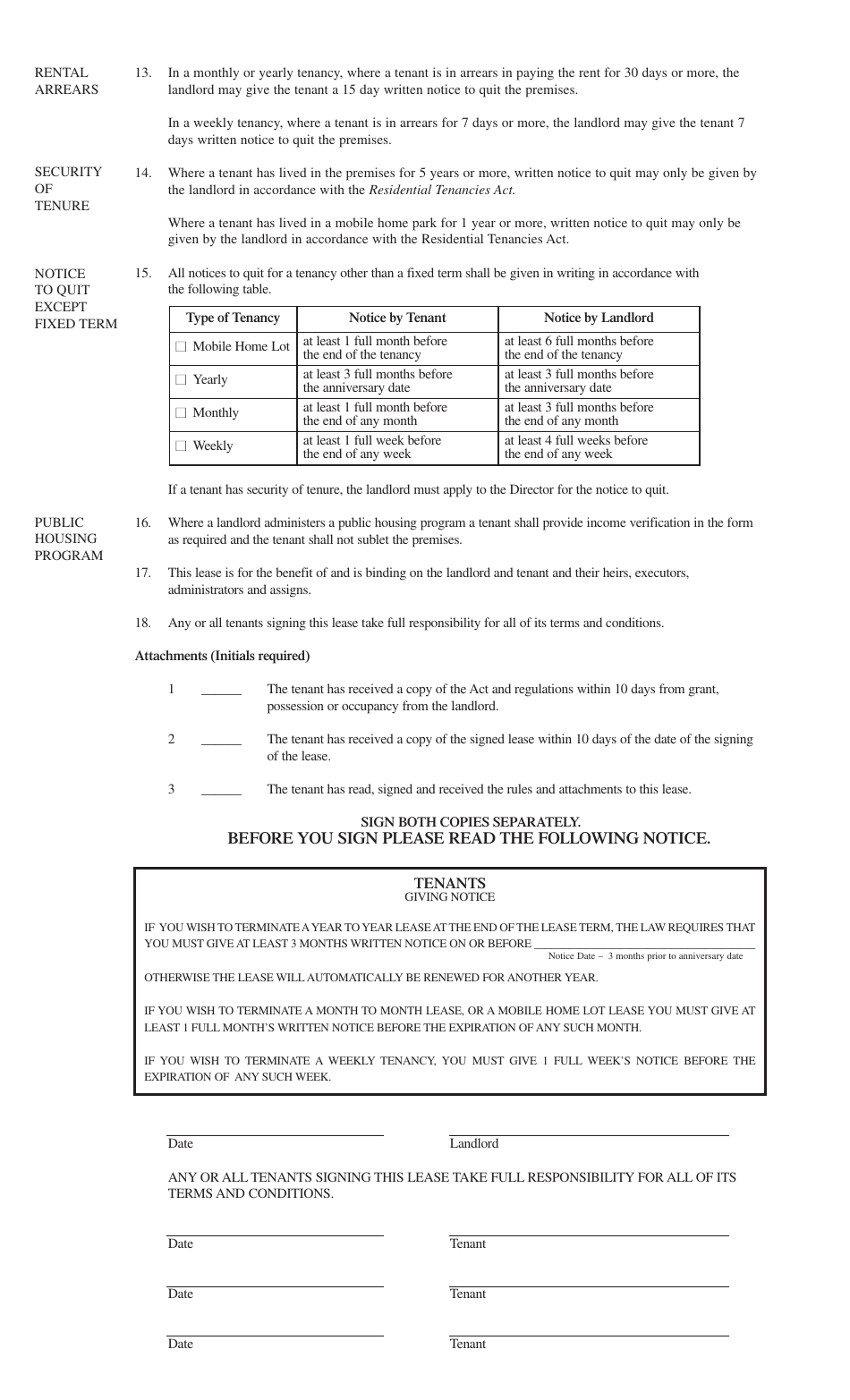
The Standard Form of Lease is used for residential rental agreements. It outlines the terms and conditions of the lease, including rent amount, lease duration, and responsibilities of both the landlord and the tenant. It ensures clarity and protects the rights of both parties involved in the rental agreement.

The standard form of lease is typically filed by the landlord or property owner.

FAQ

Q: What is the Standard Form of Lease?
A: The Standard Form of Lease is a legal document used to establish the terms and conditions of a lease agreement.

Q: Who uses the Standard Form of Lease?
A: Landlords and tenants use the Standard Form of Lease to outline the agreement terms and protect their rights and obligations.

Q: What information is included in the Standard Form of Lease?
A: The Standard Form of Lease includes details such as the names of the landlord and tenant, the rental property address, the lease term, rent amount, security deposit, and other important terms and conditions.

Q: Is the Standard Form of Lease mandatory?
A: In some jurisdictions, the use of the Standard Form of Lease is mandatory, while in others it is optional. It is important to check the specific requirements in your area.

Q: What are the benefits of using the Standard Form of Lease?
A: Using the Standard Form of Lease provides clarity and consistency in lease agreements, helps protect the rights of both parties, and reduces potential disputes or misunderstandings.

Q: Can the Standard Form of Lease be customized?
A: Yes, the Standard Form of Lease can be customized to include additional terms or conditions if agreed upon by both parties, as long as they comply with local laws and regulations.

Q: What should I do before signing a Standard Form of Lease?
A: Before signing a Standard Form of Lease, it is essential to carefully read and understand all the terms and conditions, ask any questions or seek legal advice if needed, and negotiate any necessary changes.

ADVERTISEMENT

Download Standard Form of Lease

4.8 of 5 (9 votes)
  • Standard Form of Lease

    1

  • Standard Form of Lease, Page 2

    2

  • Standard Form of Lease, Page 3

    3

  • Standard Form of Lease, Page 4

    4

  • Standard Form of Lease, Page 1
  • Standard Form of Lease, Page 2
  • Standard Form of Lease, Page 3
  • Standard Form of Lease, Page 4
Prev 1 2 3 4 Next
ADVERTISEMENT