Employee Formal Written Reprimand Template

Employee Formal Written Reprimand Template

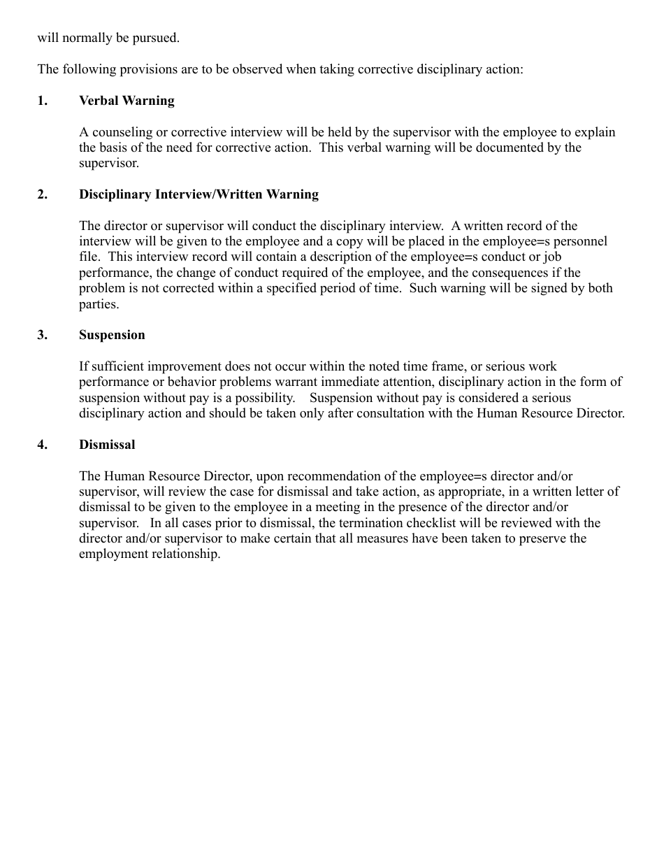
An Employee Formal Written Reprimand Template is used by employers to document and formalize disciplinary action taken against an employee. It provides a structured format for outlining the details of the reprimand, including the misconduct or poor performance, expectations for improvement, and potential consequences if the behavior continues. This template ensures consistency and fairness in the disciplinary process.

The employee formal written reprimand template is typically filed by the human resources department or the employee's supervisor.

FAQ

Q: What is an employee formal written reprimand?
A: An employee formal written reprimand is a document that formally addresses an employee's misconduct or performance issues.

Q: When is an employee formal written reprimand used?
A: An employee formal written reprimand is used when an employee's behavior or performance does not meet the expectations of the employer.

Q: What should be included in an employee formal written reprimand?
A: An employee formal written reprimand should include a clear description of the employee's misconduct or performance issues, the expected standards or improvement, and any consequences if the issues are not resolved.

Q: How should an employee formal written reprimand be delivered?
A: An employee formal written reprimand should be delivered in person or via certified mail to ensure it is received by the employee.

Q: Can an employee formal written reprimand be challenged?
A: Yes, an employee can challenge an employee formal written reprimand through their company's grievance or appeal process.

Q: What are the potential consequences of an employee formal written reprimand?
A: Some potential consequences of an employee formal written reprimand may include additional training, loss of privileges, or even termination of employment if the issues persist.

ADVERTISEMENT

Download Employee Formal Written Reprimand Template

4.3 of 5 (32 votes)
  • Employee Formal Written Reprimand Template

    1

  • Employee Formal Written Reprimand Template, Page 2

    2

  • Employee Formal Written Reprimand Template, Page 3

    3

  • Employee Formal Written Reprimand Template, Page 4

    4

  • Employee Formal Written Reprimand Template, Page 1
  • Employee Formal Written Reprimand Template, Page 2
  • Employee Formal Written Reprimand Template, Page 3
  • Employee Formal Written Reprimand Template, Page 4
Prev 1 2 3 4 Next
ADVERTISEMENT